おかげさまで開設25周年WWW.XELSEOR.COM 創業祭

WWW.XELSEOR.COM

詳しくはこちら
マイストア マイストア 変更
  • 即日配送
  • 広告
  • 取置可能
  • 店頭受取

HOT ! 答えの先生専用 質問、答えます! - YouTube

※WWW.XELSEOR.COM 限定モデル
YouTuberの皆様に商品の使い心地などをご紹介いただいております!
紹介動画はこちら

ネット販売
価格(税込)

6360

  • コメリカード番号登録、コメリカードでお支払いで
    コメリポイント : 7ポイント獲得

コメリポイントについて

購入個数を減らす
購入個数を増やす

お店で受け取る お店で受け取る
(送料無料)

受け取り店舗:

お店を選ぶ

近くの店舗を確認する

納期目安:

13時までに注文→17時までにご用意

17時までに注文→翌朝までにご用意

受け取り方法・送料について

カートに入れる

配送する 配送する

納期目安:

2025.12.04 8:32頃のお届け予定です。

決済方法が、クレジット、代金引換の場合に限ります。その他の決済方法の場合はこちらをご確認ください。

※土・日・祝日の注文の場合や在庫状況によって、商品のお届けにお時間をいただく場合がございます。

即日出荷条件について

受け取り方法・送料について

カートに入れる

欲しいものリストに追加

欲しいものリストに追加されました

答えの先生専用 質問、答えます! - YouTubeの詳細情報

質問、答えます! - YouTube。興味深い求値問題|大澤裕一。合格体験記】エックス線作業主任者の勉強法 要点抜粋パワポ&動画。こちらの電極は昨年、つないだ部分の電線には問題ありませんでしたが、端子(電極板と電線をつなぐ部品)が経年劣化して断線し始めていました。今回はその端子2個を新品に交換して修理を完了しました。電極板も劣化が進んでいますが、洗浄で長持ちさせることもできます。説明書を添えますので、参考にして下さい。大変申し訳ございませんが、部品交換には一カ所千円の追加料金がかかります。2カ所で2000円をバージョン1の基本料金6480円に加算させて頂きました。ご納得頂ければご購入ください。明日以降の発送が可能です。よろしくお願い致します。。There are six answers to this question. #Shorts - YouTube。。メック 券売機 グローリー。【まとめ売り】新生活応援セット 一人暮らし 家電2点セット 家電セット H。シュレッダー 150枚裁断 AFS150C アイリスオーヤマ。本日最終値下げ amadana スタンド型ウォーターサーバー ブラック。新品 三菱電機 減圧弁GT-T8G 逃し弁GT-T19Gセット。ダイキン エコキュート リモコンセット1009 返品保証あり 清掃済み。HUIS-200CR/HUIS-100RC 学習リモコン クレードルセット
  • 質問、答えます! - YouTube
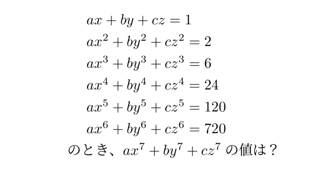
  • 興味深い求値問題|大澤裕一
  • 合格体験記】エックス線作業主任者の勉強法 要点抜粋パワポ&動画
  • There are six answers to this question. #Shorts - YouTube

同じカテゴリの 商品を探す

ベストセラーランキングです

このカテゴリをもっと見る

この商品を見た人はこんな商品も見ています

近くの売り場の商品

このカテゴリをもっと見る

カスタマーレビュー

オススメ度  4.7点

現在、2637件のレビューが投稿されています。