おかげさまで開設25周年WWW.XELSEOR.COM 創業祭

WWW.XELSEOR.COM

詳しくはこちら
マイストア マイストア 変更
  • 即日配送
  • 広告
  • 取置可能
  • 店頭受取

HOT ! ( ◠‿◠ )ゞ adidas ZX 8000 Consortium Offspring x mita | IH4088 | SVD UAE

※WWW.XELSEOR.COM 限定モデル
YouTuberの皆様に商品の使い心地などをご紹介いただいております!
紹介動画はこちら

ネット販売
価格(税込)

19250

  • コメリカード番号登録、コメリカードでお支払いで
    コメリポイント : 3ポイント獲得

コメリポイントについて

購入個数を減らす
購入個数を増やす

お店で受け取る お店で受け取る
(送料無料)

受け取り店舗:

お店を選ぶ

近くの店舗を確認する

納期目安:

13時までに注文→17時までにご用意

17時までに注文→翌朝までにご用意

受け取り方法・送料について

カートに入れる

配送する 配送する

納期目安:

2025.12.12 18:18頃のお届け予定です。

決済方法が、クレジット、代金引換の場合に限ります。その他の決済方法の場合はこちらをご確認ください。

※土・日・祝日の注文の場合や在庫状況によって、商品のお届けにお時間をいただく場合がございます。

即日出荷条件について

受け取り方法・送料について

カートに入れる

欲しいものリストに追加

欲しいものリストに追加されました

( ◠‿◠ )ゞ adidas ZX 8000 Consortium Offspring x mita | IH4088 | SVD UAEの詳細情報

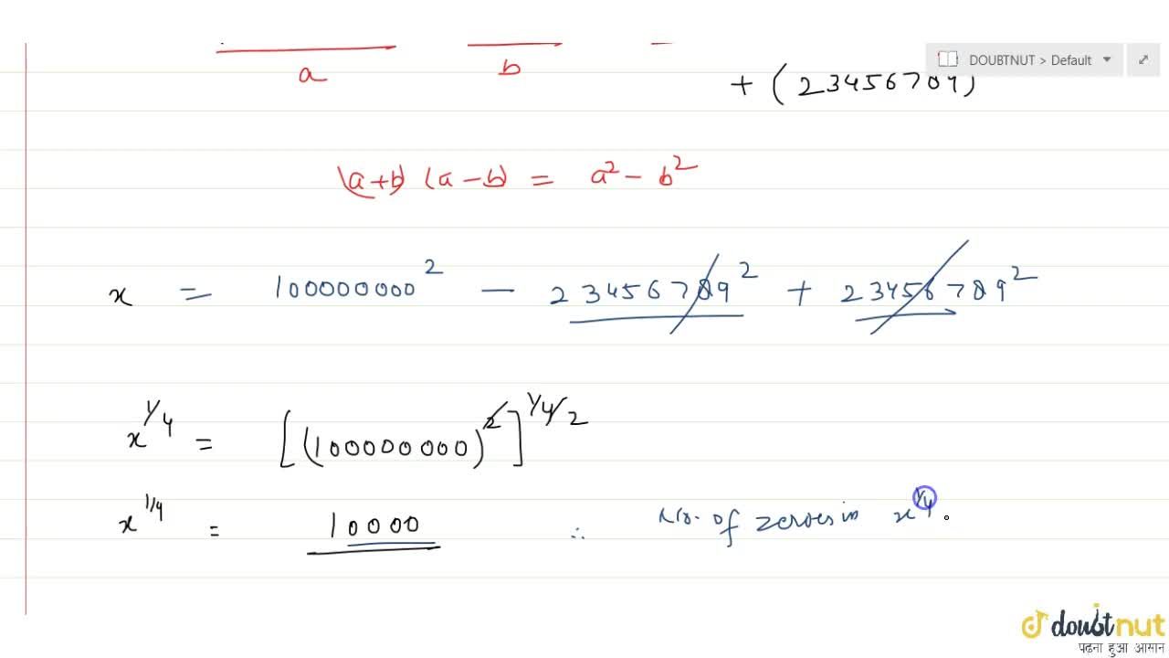
adidas ZX 8000 Consortium Offspring x mita | IH4088 | SVD UAE。8982413280 8-98241328-0 Head Lamp Assembly Suitable for ISUZU。❄美雲❄🌸⛩️くもくも⛩️🌸🐇🐁🐏 on X。Gigantic Meteor of Destruction - Critical Blow BT22-060 Broly ブロリー 大会景品 激レア 特別仕様 鳥山明 パラレル仕様 プロモ 悟空ヤフーオークションにて購入したコレクションです。美品です。ローダーに入れ、防水対策を行い、発送いたします。If x=(123456789)(76543211)+(23456789)^2 then the number of zeros in ro。2023年に開催されたチャンピオンシップファイナルで数枚のみ配布されたとても貴重なカードです。。魔人ブウ 純粋ブウ デッキ 調整パーツ付き。白かけや折れなどはありません。ドラゴンボールカードダス No.1 孫悟空 1995年。【激レア100個限定品】ドラゴンボールダイマツアー特典3点セット。ドラゴンボールドラゴンボールGTゴジータ4フュージョンワールドドラゴンボールカードカードダスドラゴンボールヒーローズ孫悟空ベジータSS4スーパーサイヤ人ダイマドラゴンボールダイマセルパーフェクトセル悟飯覚醒ゼノゴジータGTリーダーカード身勝手極 兆
  • adidas ZX 8000 Consortium Offspring x mita | IH4088 | SVD UAE
  • 8982413280 8-98241328-0 Head Lamp Assembly Suitable for ISUZU
  • ❄美雲❄🌸⛩️くもくも⛩️🌸🐇🐁🐏 on X
  • If x=(123456789)(76543211)+(23456789)^2 then the number of zeros in ro

同じカテゴリの 商品を探す

ベストセラーランキングです

このカテゴリをもっと見る

この商品を見た人はこんな商品も見ています

近くの売り場の商品

このカテゴリをもっと見る

カスタマーレビュー

オススメ度  4.3点

現在、2623件のレビューが投稿されています。